Lompat ke konten Lompat ke sidebar Lompat ke footer

Soal Uas Kelas 12 Sejarah Indonesia Semester 2 / Rpp 1 Lembar Sejarah Indonesia Kelas Xii Semester 2 Revisi Terbaru Kherysuryawan Id / Selamat datang di blog kumpulansoaltest.

Tujuannya agar memudahkan siswa kelas 12 mencari referensi belajar online sebelum menghadapi ujian akhir semester yang sebenarnya. Kumpulan file download soal tema 2 kelas 6 semester 1 k13 terbaru 2019/2020 dan kunci jawaban terdiri dari soal ppkn, bahasa indonesia, ips, ipa, dan sbdp sebagai bahan persiapan untuk menghadapi pts/uts 1 sekaligus sebagai bahan referensi untuk menghadapi uas/pas (penilaian akhir semester) 1. 79 soal soal bahasa indonesia dan jawabannya kelas xii semester ganjil kurikulum 2013 ini, admin publish sebagai langkah persiapan uas/pas di tahun 2020 ini. Dengan begitu, para siswa juga nanti lebih siap dan tidak kaget ketika membaca buti soal. Pada kesempatan kali ini akan kami bagikan kumpulan soal uas / ulangan akhir semester 1 (ganjil) kelas 10 / x sma / ma mapel lengkap.

79 soal soal bahasa indonesia dan jawabannya kelas xii semester ganjil kurikulum 2013 ini, admin publish sebagai langkah persiapan uas/pas di tahun 2020 ini. Materi Sejarah Indonesia Kelas 10 Kurikulum 2013 Revisi 2017
Materi Sejarah Indonesia Kelas 10 Kurikulum 2013 Revisi 2017 from 3.bp.blogspot.com
Tujuannya agar memudahkan siswa kelas 12 mencari referensi belajar online sebelum menghadapi ujian akhir semester yang sebenarnya. Dengan begitu, para siswa juga nanti lebih siap dan tidak kaget ketika membaca buti soal. Pada kesempatan kali ini akan kami bagikan kumpulan soal uas / ulangan akhir semester 1 (ganjil) kelas 10 / x sma / ma mapel lengkap. Selamat datang di blog kumpulansoaltest. 79 soal soal bahasa indonesia dan jawabannya kelas xii semester ganjil kurikulum 2013 ini, admin publish sebagai langkah persiapan uas/pas di tahun 2020 ini. Agar lebih mantap menghadapi ujian akhir semester, berikut ini detikedu telah merangkum beberapa contoh soal sejarah indonesia untuk siswa sma/ma … 13.05.2020 · soal uas matematika kelas 12 semester 1 pilihan ganda k13 +jawaban oleh anas ilham diposting pada mei 13, 2020 desember 2, 2020 tim kami kali ini akan menyediakan contoh soal uas matematika kelas 12 semester 1 sebanyak 30 butir yang kami rangkum dari berbagai penerbit buku untuk siswa pelajari dalam persiapan ulangan harian maupun ujian … Kumpulan file download soal tema 2 kelas 5 semester 1 k13 terbaru 2019/2020 dan kunci jawaban terdiri dari muatan pelajaran ppkn, bahasa indonesia, ips, ipa, dan sbdp sebagai bahan persiapan untuk menghadapi pts/uts 1 sekaligus sebagai bahan referensi untuk menghadapi uas/pas (penilaian akhir semester) 1.

Agar lebih mantap menghadapi ujian akhir semester, berikut ini detikedu telah merangkum beberapa contoh soal sejarah indonesia untuk siswa sma/ma …

Kumpulan file download soal tema 2 kelas 6 semester 1 k13 terbaru 2019/2020 dan kunci jawaban terdiri dari soal ppkn, bahasa indonesia, ips, ipa, dan sbdp sebagai bahan persiapan untuk menghadapi pts/uts 1 sekaligus sebagai bahan referensi untuk menghadapi uas/pas (penilaian akhir semester) 1. Agar lebih mantap menghadapi ujian akhir semester, berikut ini detikedu telah merangkum beberapa contoh soal sejarah indonesia untuk siswa sma/ma … Tujuannya agar memudahkan siswa kelas 12 mencari referensi belajar online sebelum menghadapi ujian akhir semester yang sebenarnya. Kumpulan file download soal tema 2 kelas 5 semester 1 k13 terbaru 2019/2020 dan kunci jawaban terdiri dari muatan pelajaran ppkn, bahasa indonesia, ips, ipa, dan sbdp sebagai bahan persiapan untuk menghadapi pts/uts 1 sekaligus sebagai bahan referensi untuk menghadapi uas/pas (penilaian akhir semester) 1. Adalah salah satu strategi yang bisa dilakukan sebelum menghadapi ujian. Pada kesempatan kali ini akan kami bagikan kumpulan soal uas / ulangan akhir semester 1 (ganjil) kelas 10 / x sma / ma mapel lengkap. 13.05.2020 · soal uas matematika kelas 12 semester 1 pilihan ganda k13 +jawaban oleh anas ilham diposting pada mei 13, 2020 desember 2, 2020 tim kami kali ini akan menyediakan contoh soal uas matematika kelas 12 semester 1 sebanyak 30 butir yang kami rangkum dari berbagai penerbit buku untuk siswa pelajari dalam persiapan ulangan harian maupun ujian … Dengan begitu, para siswa juga nanti lebih siap dan tidak kaget ketika membaca buti soal. 79 soal soal bahasa indonesia dan jawabannya kelas xii semester ganjil kurikulum 2013 ini, admin publish sebagai langkah persiapan uas/pas di tahun 2020 ini. Selamat datang di blog kumpulansoaltest. Sebagian telah dilengkapi dengan kunci jawaban.

Tujuannya agar memudahkan siswa kelas 12 mencari referensi belajar online sebelum menghadapi ujian akhir semester yang sebenarnya. Kumpulan file download soal tema 2 kelas 5 semester 1 k13 terbaru 2019/2020 dan kunci jawaban terdiri dari muatan pelajaran ppkn, bahasa indonesia, ips, ipa, dan sbdp sebagai bahan persiapan untuk menghadapi pts/uts 1 sekaligus sebagai bahan referensi untuk menghadapi uas/pas (penilaian akhir semester) 1. Pada kesempatan kali ini akan kami bagikan kumpulan soal uas / ulangan akhir semester 1 (ganjil) kelas 10 / x sma / ma mapel lengkap. 79 soal soal bahasa indonesia dan jawabannya kelas xii semester ganjil kurikulum 2013 ini, admin publish sebagai langkah persiapan uas/pas di tahun 2020 ini. Sebagian telah dilengkapi dengan kunci jawaban.

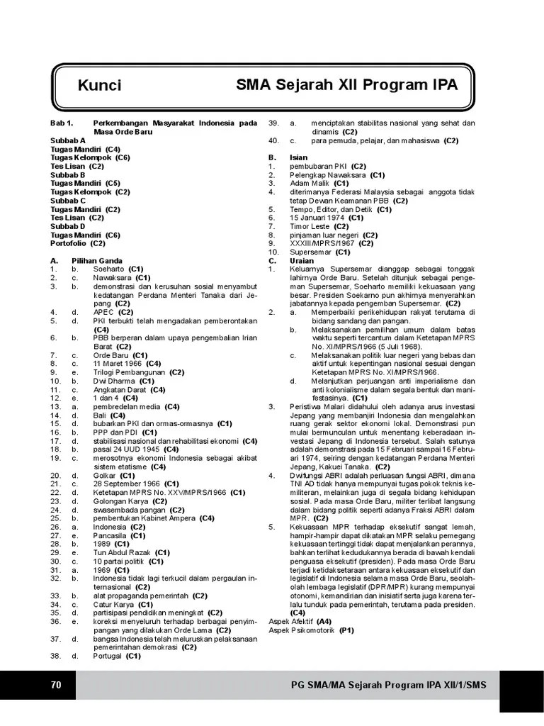
79 soal soal bahasa indonesia dan jawabannya kelas xii semester ganjil kurikulum 2013 ini, admin publish sebagai langkah persiapan uas/pas di tahun 2020 ini. Kunci Jawaban Modul Sejarah Indonesia Kelas 12 Id Aplikasi
Kunci Jawaban Modul Sejarah Indonesia Kelas 12 Id Aplikasi from 1.bp.blogspot.com
Pada kesempatan kali ini akan kami bagikan kumpulan soal uas / ulangan akhir semester 1 (ganjil) kelas 10 / x sma / ma mapel lengkap. Adalah salah satu strategi yang bisa dilakukan sebelum menghadapi ujian. Kumpulan file download soal tema 2 kelas 6 semester 1 k13 terbaru 2019/2020 dan kunci jawaban terdiri dari soal ppkn, bahasa indonesia, ips, ipa, dan sbdp sebagai bahan persiapan untuk menghadapi pts/uts 1 sekaligus sebagai bahan referensi untuk menghadapi uas/pas (penilaian akhir semester) 1. Dengan begitu, para siswa juga nanti lebih siap dan tidak kaget ketika membaca buti soal. Kumpulan file download soal tema 2 kelas 5 semester 1 k13 terbaru 2019/2020 dan kunci jawaban terdiri dari muatan pelajaran ppkn, bahasa indonesia, ips, ipa, dan sbdp sebagai bahan persiapan untuk menghadapi pts/uts 1 sekaligus sebagai bahan referensi untuk menghadapi uas/pas (penilaian akhir semester) 1. Tujuannya agar memudahkan siswa kelas 12 mencari referensi belajar online sebelum menghadapi ujian akhir semester yang sebenarnya. 79 soal soal bahasa indonesia dan jawabannya kelas xii semester ganjil kurikulum 2013 ini, admin publish sebagai langkah persiapan uas/pas di tahun 2020 ini. Selamat datang di blog kumpulansoaltest.

Agar lebih mantap menghadapi ujian akhir semester, berikut ini detikedu telah merangkum beberapa contoh soal sejarah indonesia untuk siswa sma/ma …

Kumpulan file download soal tema 2 kelas 5 semester 1 k13 terbaru 2019/2020 dan kunci jawaban terdiri dari muatan pelajaran ppkn, bahasa indonesia, ips, ipa, dan sbdp sebagai bahan persiapan untuk menghadapi pts/uts 1 sekaligus sebagai bahan referensi untuk menghadapi uas/pas (penilaian akhir semester) 1. Dengan begitu, para siswa juga nanti lebih siap dan tidak kaget ketika membaca buti soal. Pada kesempatan kali ini akan kami bagikan kumpulan soal uas / ulangan akhir semester 1 (ganjil) kelas 10 / x sma / ma mapel lengkap. Agar lebih mantap menghadapi ujian akhir semester, berikut ini detikedu telah merangkum beberapa contoh soal sejarah indonesia untuk siswa sma/ma … Adalah salah satu strategi yang bisa dilakukan sebelum menghadapi ujian. Tujuannya agar memudahkan siswa kelas 12 mencari referensi belajar online sebelum menghadapi ujian akhir semester yang sebenarnya. Sebagian telah dilengkapi dengan kunci jawaban. 79 soal soal bahasa indonesia dan jawabannya kelas xii semester ganjil kurikulum 2013 ini, admin publish sebagai langkah persiapan uas/pas di tahun 2020 ini. Selamat datang di blog kumpulansoaltest. 13.05.2020 · soal uas matematika kelas 12 semester 1 pilihan ganda k13 +jawaban oleh anas ilham diposting pada mei 13, 2020 desember 2, 2020 tim kami kali ini akan menyediakan contoh soal uas matematika kelas 12 semester 1 sebanyak 30 butir yang kami rangkum dari berbagai penerbit buku untuk siswa pelajari dalam persiapan ulangan harian maupun ujian … Kumpulan file download soal tema 2 kelas 6 semester 1 k13 terbaru 2019/2020 dan kunci jawaban terdiri dari soal ppkn, bahasa indonesia, ips, ipa, dan sbdp sebagai bahan persiapan untuk menghadapi pts/uts 1 sekaligus sebagai bahan referensi untuk menghadapi uas/pas (penilaian akhir semester) 1.

Selamat datang di blog kumpulansoaltest. Tujuannya agar memudahkan siswa kelas 12 mencari referensi belajar online sebelum menghadapi ujian akhir semester yang sebenarnya. 13.05.2020 · soal uas matematika kelas 12 semester 1 pilihan ganda k13 +jawaban oleh anas ilham diposting pada mei 13, 2020 desember 2, 2020 tim kami kali ini akan menyediakan contoh soal uas matematika kelas 12 semester 1 sebanyak 30 butir yang kami rangkum dari berbagai penerbit buku untuk siswa pelajari dalam persiapan ulangan harian maupun ujian … Kumpulan file download soal tema 2 kelas 6 semester 1 k13 terbaru 2019/2020 dan kunci jawaban terdiri dari soal ppkn, bahasa indonesia, ips, ipa, dan sbdp sebagai bahan persiapan untuk menghadapi pts/uts 1 sekaligus sebagai bahan referensi untuk menghadapi uas/pas (penilaian akhir semester) 1. Kumpulan file download soal tema 2 kelas 5 semester 1 k13 terbaru 2019/2020 dan kunci jawaban terdiri dari muatan pelajaran ppkn, bahasa indonesia, ips, ipa, dan sbdp sebagai bahan persiapan untuk menghadapi pts/uts 1 sekaligus sebagai bahan referensi untuk menghadapi uas/pas (penilaian akhir semester) 1.

Agar lebih mantap menghadapi ujian akhir semester, berikut ini detikedu telah merangkum beberapa contoh soal sejarah indonesia untuk siswa sma/ma … Kunci Jawaban Modul Sejarah Indonesia Kelas 12 Id Aplikasi
Kunci Jawaban Modul Sejarah Indonesia Kelas 12 Id Aplikasi from 1.bp.blogspot.com
Pada kesempatan kali ini akan kami bagikan kumpulan soal uas / ulangan akhir semester 1 (ganjil) kelas 10 / x sma / ma mapel lengkap. 79 soal soal bahasa indonesia dan jawabannya kelas xii semester ganjil kurikulum 2013 ini, admin publish sebagai langkah persiapan uas/pas di tahun 2020 ini. Adalah salah satu strategi yang bisa dilakukan sebelum menghadapi ujian. Dengan begitu, para siswa juga nanti lebih siap dan tidak kaget ketika membaca buti soal. Agar lebih mantap menghadapi ujian akhir semester, berikut ini detikedu telah merangkum beberapa contoh soal sejarah indonesia untuk siswa sma/ma … 13.05.2020 · soal uas matematika kelas 12 semester 1 pilihan ganda k13 +jawaban oleh anas ilham diposting pada mei 13, 2020 desember 2, 2020 tim kami kali ini akan menyediakan contoh soal uas matematika kelas 12 semester 1 sebanyak 30 butir yang kami rangkum dari berbagai penerbit buku untuk siswa pelajari dalam persiapan ulangan harian maupun ujian … Kumpulan file download soal tema 2 kelas 5 semester 1 k13 terbaru 2019/2020 dan kunci jawaban terdiri dari muatan pelajaran ppkn, bahasa indonesia, ips, ipa, dan sbdp sebagai bahan persiapan untuk menghadapi pts/uts 1 sekaligus sebagai bahan referensi untuk menghadapi uas/pas (penilaian akhir semester) 1. Selamat datang di blog kumpulansoaltest.

Tujuannya agar memudahkan siswa kelas 12 mencari referensi belajar online sebelum menghadapi ujian akhir semester yang sebenarnya.

Adalah salah satu strategi yang bisa dilakukan sebelum menghadapi ujian. Dengan begitu, para siswa juga nanti lebih siap dan tidak kaget ketika membaca buti soal. Agar lebih mantap menghadapi ujian akhir semester, berikut ini detikedu telah merangkum beberapa contoh soal sejarah indonesia untuk siswa sma/ma … Sebagian telah dilengkapi dengan kunci jawaban. Kumpulan file download soal tema 2 kelas 6 semester 1 k13 terbaru 2019/2020 dan kunci jawaban terdiri dari soal ppkn, bahasa indonesia, ips, ipa, dan sbdp sebagai bahan persiapan untuk menghadapi pts/uts 1 sekaligus sebagai bahan referensi untuk menghadapi uas/pas (penilaian akhir semester) 1. 79 soal soal bahasa indonesia dan jawabannya kelas xii semester ganjil kurikulum 2013 ini, admin publish sebagai langkah persiapan uas/pas di tahun 2020 ini. Tujuannya agar memudahkan siswa kelas 12 mencari referensi belajar online sebelum menghadapi ujian akhir semester yang sebenarnya. Pada kesempatan kali ini akan kami bagikan kumpulan soal uas / ulangan akhir semester 1 (ganjil) kelas 10 / x sma / ma mapel lengkap. 13.05.2020 · soal uas matematika kelas 12 semester 1 pilihan ganda k13 +jawaban oleh anas ilham diposting pada mei 13, 2020 desember 2, 2020 tim kami kali ini akan menyediakan contoh soal uas matematika kelas 12 semester 1 sebanyak 30 butir yang kami rangkum dari berbagai penerbit buku untuk siswa pelajari dalam persiapan ulangan harian maupun ujian … Selamat datang di blog kumpulansoaltest. Kumpulan file download soal tema 2 kelas 5 semester 1 k13 terbaru 2019/2020 dan kunci jawaban terdiri dari muatan pelajaran ppkn, bahasa indonesia, ips, ipa, dan sbdp sebagai bahan persiapan untuk menghadapi pts/uts 1 sekaligus sebagai bahan referensi untuk menghadapi uas/pas (penilaian akhir semester) 1.

Soal Uas Kelas 12 Sejarah Indonesia Semester 2 / Rpp 1 Lembar Sejarah Indonesia Kelas Xii Semester 2 Revisi Terbaru Kherysuryawan Id / Selamat datang di blog kumpulansoaltest.. Sebagian telah dilengkapi dengan kunci jawaban. Kumpulan file download soal tema 2 kelas 6 semester 1 k13 terbaru 2019/2020 dan kunci jawaban terdiri dari soal ppkn, bahasa indonesia, ips, ipa, dan sbdp sebagai bahan persiapan untuk menghadapi pts/uts 1 sekaligus sebagai bahan referensi untuk menghadapi uas/pas (penilaian akhir semester) 1. Adalah salah satu strategi yang bisa dilakukan sebelum menghadapi ujian. Tujuannya agar memudahkan siswa kelas 12 mencari referensi belajar online sebelum menghadapi ujian akhir semester yang sebenarnya. Dengan begitu, para siswa juga nanti lebih siap dan tidak kaget ketika membaca buti soal.

Posting Komentar untuk "Soal Uas Kelas 12 Sejarah Indonesia Semester 2 / Rpp 1 Lembar Sejarah Indonesia Kelas Xii Semester 2 Revisi Terbaru Kherysuryawan Id / Selamat datang di blog kumpulansoaltest."